Corso di memotecniche

di Sergio Chiodo

 

Indice

Introduzione
Alcune domande frequenti
L'acrostico
L'associazione
Sequenze di nomi
Parole difficili
La conversione
Memorizzare i numeri

Musica
Alcune date di nascita e morte
Le 12 fatiche d'Ercole
Calendario dell'anno
Tavole goniometriche
Sedi delle Olimpiadi
32 cifre di pigreco
Le costellazioni zodiacali
I libri della Bibbia
La tavola periodica di Mendeleev

La conversione

Talvolta per memorizzare dei dati, può convenire trasformarli in altri più facili da ricordare, perché più adatti ad essere associati. La tecnica più potente è quella della conversione numerico-fonetica, illustrata nel prossimo capitolo. Qui vediamo come esempio più semplice le famigerate formule di prostaferesi.

sen p + sen q = 2 sen A cos B 
sen p - sen q = 2 cos A sen B 
cos p + cos q = 2 cos A cos B 
cos p - cos q = - 2 sen A sen B

dove A e B stanno rispettivamente per la semisomma e la semidifferenza di p e q 

A= (p+q)/2 
B = (p-q)/2

Osservando che a secondo membro compaiono sempre il fattore 2 e gli argomenti A e B, basterà memorizzare lo schema

sen + sen = sen cos 
sen - sen = cos sen 
cos + cos = cos cos 
cos - cos = - sen sen

Operiamo una conversione fonetica: trasformiamo cioè ogni elemento matematico in un suono consonantico (sen = S, cos = C, + = P, - = M)

S P S = S C 
S M S = C S 
C P C = C C 
C M C = - S S 


(nell'ultima relazione il segno meno conviene lasciarlo così)
Mettendo delle vocali, otteniamo delle frasette molto facili da mandare a mente:

SPoSi = SeCchio (gli sposi all'uscita dalla chiesa accolti da secchi di riso) 
oSMoSi = CoS'è ? (per una volta fingete di non sapere la biologia ;-) 
CoPeCo = CieCo (un cieco russo che chiede l'elemosina) 
CaMiCia = meno SeSSo (qui non c'è bisogno di suggerimenti) 



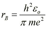
Atro esempio: il raggio di Bohr


h= costante di plank = la memorizziamo con un hotel
epsilon-zero = costante dielettrica del vuoto = rasoio elettrico (è una costante, tutte le mattine bisogna usarlo...)
pigreco = una mammella (2 pigreco è un seno completo)
m = massa dell'elettrone= qualcosa di molto leggero (piuma etc)
e = carica dell'elettrone = una chiave che "carica" le automobiline a molla, che gira su se stessa (spin)

RAGGIO DI BOHR

Bohr sta pensando di cambiare vita e di restringere il suo raggio di azione, cioè di non avere più amanti. Considera pro e contro.
Da un lato (numeratore) non dovrà più fare incontri clandestini in hotel (h), con camera doppia al secondo piano (al quadrato), estremamente costosi, per non dire poi che si dimenticava sempre il rasoio elettrico e andava al lavoro con la barba non fatta.
Dall'altro lato (denominatore) non è molto contento di doversi accontentare di poco sesso (pi greco) con una moglie magrolina (m) che quando si spoglia si chiude in bagno a chiave (e) a doppia mandata (al quadrato).